Flash CRISPR Knockout Kit(Universal Version)
more
Cat.No: EDKO-K04
Size
50 μL 100 μL
Quantity
Product Description
The Flash CRISPR Knockout Kit(Universal Version)enables efficient and precise gene knockout by delivering pre-assembled ribonucleoprotein (RNP) complexes composed of Cas9 protein and sgRNA, along with a proprietary delivery carrier. Tailored for research use, this ready-to-use kit features EDITGENE’s innovative CRISPR RNP delivery system and extensively validated Cas enzymes. The specially treated RNP–carrier complex ensures high-efficiency genome editing in mammalian cells.
Storage
Store at -80 °C. Shipped on dry ice. Shelf life: 6 months.
It is recommended to aliquot the reagents based on usage frequency to avoid repeated freeze-thaw cycles.
Components
| Catalog No. | Component | Specification | Notes |
| EDKO-K04-50 | Carrier-RNP Complex | 50 μL(sufficient for five 24-well reactions) | 24-well plate,10 μL/well |
| EDKO-K04-100 | Carrier-RNP Complex | 100 μL(sufficient for five 12-well reactions) | 12-well plate,20 μL/well |
Note: This product provides only the pre-assembled carrier-RNP complex.Customers are required to provide their own sgRNA sequences.
Optional Components
| Catalog No. | Option | Description |
| EDKO-K04-50 | sgRNA Design | Custom sgRNA design services provided by EDITGEN |
| EDKO-K04-100 | Positive Control | Carrie-RNP complex targeting human B2M gene |
Experimental Procedure
- 1.Cell Culture and Seeding (Example: 24-well plate)
Culture cells until they are in a healthy, actively growing state. Seed cells into a 24-well plate 24 hours prior to transfection.
For adherent cells: Ensure 50%-60% confluency at the time of transfection.
For suspension cells: Ensure a cell density of 1.2×10⁵ to 1.6×10⁵ cells per well at the time of transfection.
Note: Use healthy cells free from bacterial, fungal, or mycoplasma contamination. For cryopreserved cells recently thawed from liquid nitrogen, passage at least twice before transfection.
- 2.Cell Transfection
Thaw the carrier-RNP complex slowly by transferring it from -80℃ to 4℃ in advance. Add 10μL of the complex per well in a 24-well plate. Add the reagent slowly in multiple small aliquots, gently shaking to mix after each addition.
For adherent cells: Cells should be healthy, evenly distributed, and at 50%-60% confluency. The complex can be added directly.
For suspension cells: Cells should be healthy. Gently pipette to disperse cell clumps before adding the carrier-RNP complex. Add the reagent directly once the cells are evenly suspended.
- 3. Analysis of Transfected Cells
At 48 hours post-transfection, extract genomic DNA from the transfected cells. Use specific primers to amplify the target region (the amplicon should include the sgRNA targeted cleavage site).
Analyze gene editing efficiency using tools such as TIDE (https://tide.nki.nl/) or ICE (https://ice.synthego.com/#/); user guide can be found at: https://www.synthego.com/guide/how-to-use-crispr/ice-analysis-guide).
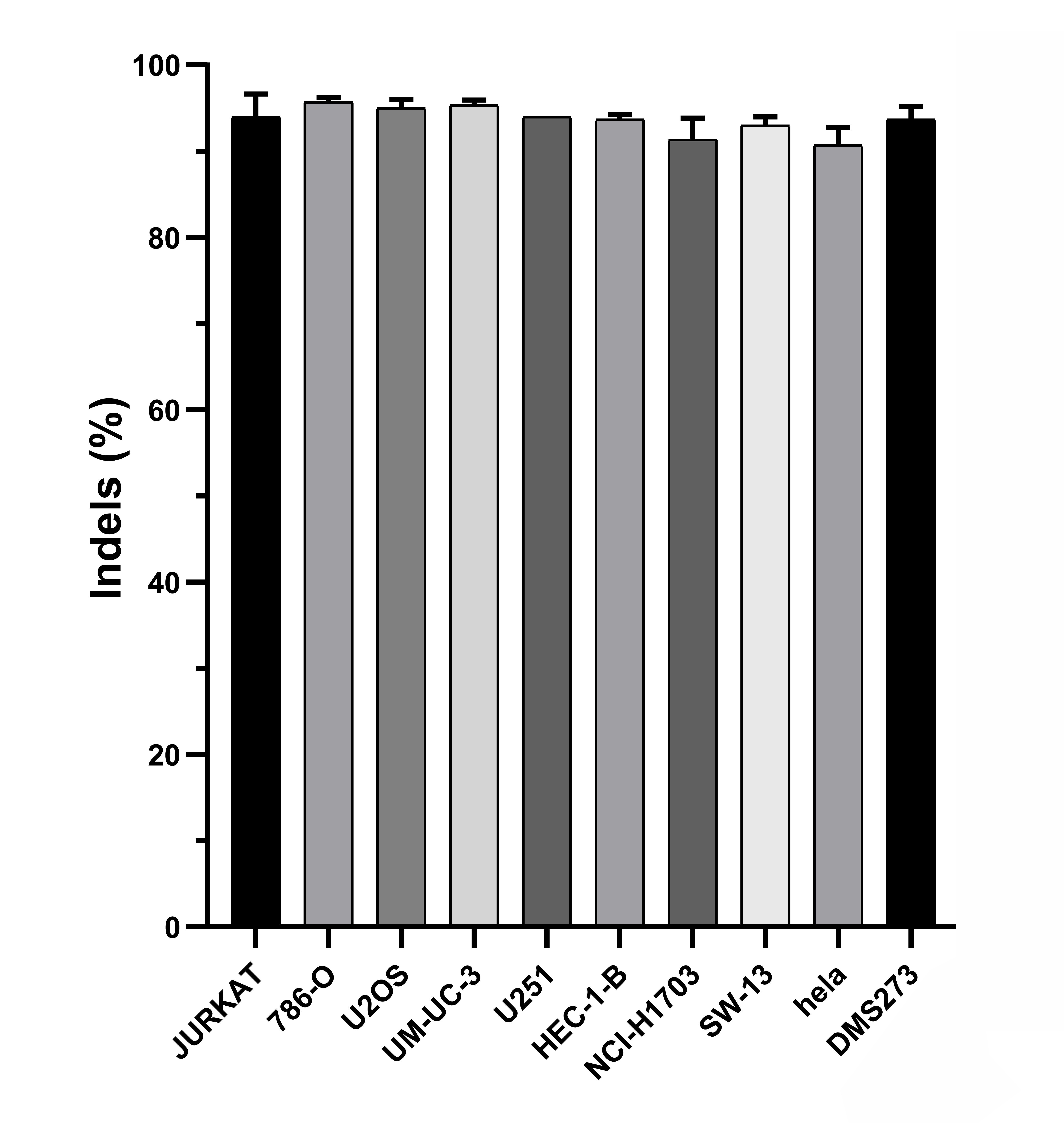
High-Efficiency Gene Editing Results

Figure1 .Representative Image ofEfficiently Edited Cells

Figure2 ICE Analysis of Polyclonal Editing in Jurkat Cells(Target:B2M)

Figure 3 .ICE Analysis ofPolyclonal Editing in HEK293T Cells (Target:B2M)